버킷 정렬이란?
bucket은 바구니를 의미합니다.
말 그래도 버킷 정렬은 바구니에 데이터를 담는 형태를 닮았다 하여 이름 붙여졌습니다.

위 그림과 같이 숫자를 카테로리별로 나눠 바구니에 담은 뒤,

그 바구니 안을 정렬해주는 방식입니다.
바구니 안을 정렬할 때는 앞에서 배웠던 정렬 방식 중 아무거나 사용하셔도 상관 없습니다.
저는 삽입 정렬을 이용해서 버킷 정렬을 구현해보았습니다.
코드)
디버깅, 실행할 때 보기 편하도록
버킷을 출력해주는 함수를 추가해주었습니다.
#include <iostream>
#include <vector>
void Print(std::vector<float>& v) {
for (auto& a : v) {
std::cout << a << " ";
}
std::cout << '\n';
}
void PrintBucket(std::vector<std::vector<float>>& v) {
for (int i = 0; i < v.size(); i++) {
std::cout << i << ": ";
for (int j = 0; j < v[i].size(); j++) {
std::cout << v[i][j] << " ";
}
std::cout << '\n';
}
}
void InsertionSort(std::vector<float>& v) {
for (int i = 0; i < v.size(); i++) {
float key = v[i];
int j = i - 1;
while (j >= 0 && v[j] > key) {
v[j + 1] = v[j];
j--;
}
v[j + 1] = key;
}
}
void BucketSort(std::vector<float>& v, int num_buckets) {
std::vector<std::vector<float>> buckets(num_buckets);
for (auto a : v) {
int idx = int(num_buckets * a);
buckets[idx].push_back(a);
}
std::cout << "Before sorting" << '\n';
PrintBucket(buckets);
for (int i = 0; i < num_buckets; i++) {
InsertionSort(buckets[i]);
}
std::cout << "After sorting" << '\n';
PrintBucket(buckets);
int index = 0;
for (int i = 0; i < num_buckets; i++) {
for (auto j : buckets[i]) {
v[index++] = j;
}
}
}
10의자릿수대로 분류해주고 각 바구니를 정렬해주는 방식이라 구현은 어렵지 않게 할 수 있을 것 같습니다.
버킷 정렬의 시간 복잡도)
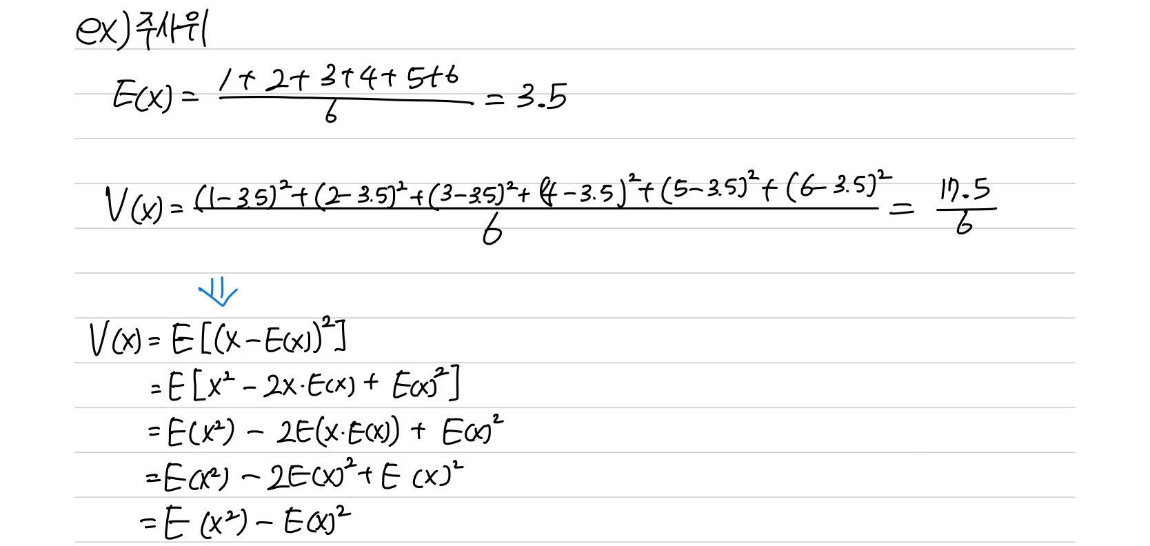
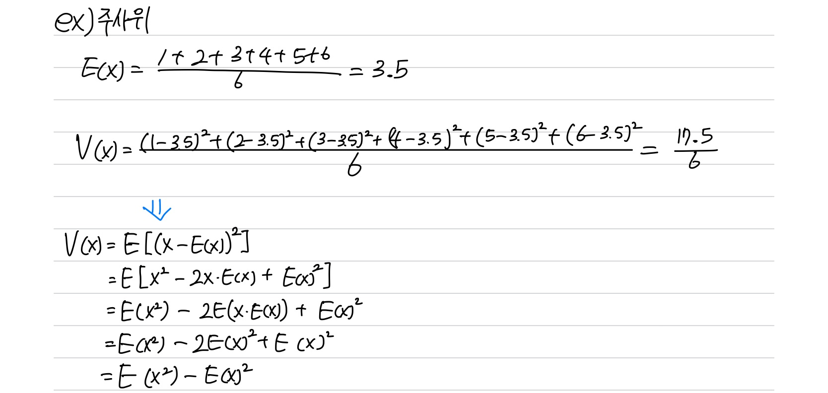
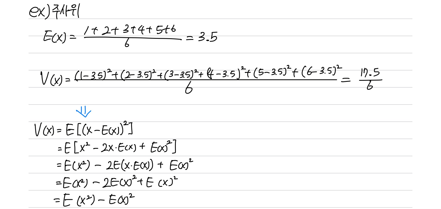
이를 이해하기 위해서는 기댓값과 분산에 대한 이해가 필요하다.
-기댓값과 분산의 상관관계

위와 같이 기댓값으로부터 분산을 구할 수 있습니다.
이것 말고도 이항분포에 대한 간단한 이해도 필요합니다.
-이항 분포

위의 기댓값과 분산을 구하는 것은 X가 이항분포 n,p를 따를 때의 성질을 이용한 것입니다.
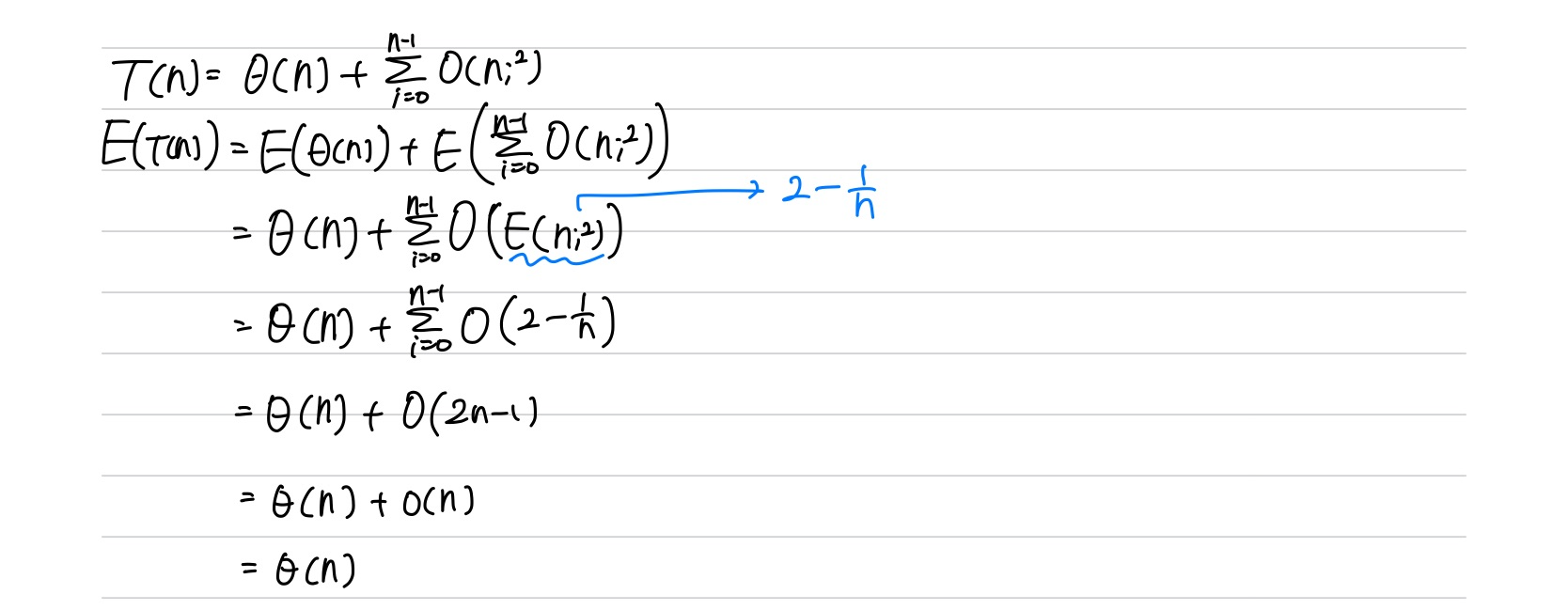
이제는 시간 복잡도에 대해 알아보도록 하겠습니다.
-평균 시간

버킷의 개수와 입력의 개수 모두 n개라고 가정했을 때 평균 시간복잡도는 𝜭(n)인 것을 확인할 수 있습니다.
그렇다면 최악의 경우는 어떨까요??
만약 모든 입력의 카테고리가 같아서 모두 하나의 바구니로 들어간다면 어떨까요?
그럴 때는 그냥 한 바구니에 있는 전체 데이터를 정렬해주는 것이므로 다른 정렬과 다를 바가 없습니다.
따라서 최악의 경우에는 O(n^2) 이라고 할 수 있습니다.
'DataStructure > Algorithm' 카테고리의 다른 글
| Dynamic programming 연습문제 (2) | 2024.10.17 |
|---|---|
| Dynamic Programming (4) | 2024.10.17 |
| 3-way QuickSort (3분할 퀵정렬) (0) | 2024.09.16 |
| QuickSort (퀵정렬) (1) | 2024.09.16 |
| MergeSort (병합 정렬) (2) | 2024.09.15 |