
























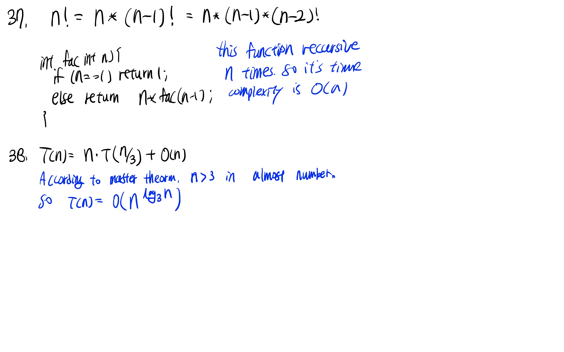
큰 수의 곱셈을 분할해서 푸는문제.


'Book > Foundations Of Algorithms' 카테고리의 다른 글
| CH8. More Computational Complexity: The Searching Problem (0) | 2024.12.10 |
|---|---|
| CH7. Introduction to Computational Complexity: The Sorting Problem (1) | 2024.12.05 |
| CH1.Exercise (2) | 2024.10.14 |